|
卫生间是居家生活中最常见水,也是最潮湿的地方,这也就造成了好多客户在选择卫生间门的时候比较纠结,再加上有些设计人员和卖门 商家的不专业,造成大家在选择卫生间门的时候有些不知所措,今天我就把我的一些小经验分享给大家,希望对你有所帮助。
在居家住宅装修中卫生间门的材质一般都会选择塑钢门、钛镁合金门、木质门、钢化玻璃门,其中木质门和钛镁合金也是大多数人选择的方向。 塑钢门
塑钢门的防水性是非常强的,并且价格很便宜,一般几十块钱就能够买到。但是,塑钢门的自身视觉效果非常不好,档次很低,一般在许多街边的小饭馆或者出租屋会见到,不适合精心装修的家装空间内。并且,塑钢门很容易变色变形,使用寿命不长。由于现在居家装修中几乎已经淘汰,这里就不做过多说明了。
钛镁合金门
所有的铝合金门都有一个特点,就是防水性强,样式比较多,色彩比较丰富,抗变形的能力比较强。而且造价相对便宜,防污防潮,耐锈。 但由于材质和卧室门材质不同(只能和木门质感选择相近的),质感也和卧室门不一样,所以整体美观度不是很好,而且档次很一般。这个也是大多数朋友在选择卫生间门时所烦恼的地方。
其实,影响整体效果还有门套线的安装方式和门的安装位置这两点因素,这两点也是大多数业主朋友最容易忽视的地方。 铝合金的门套线安装只能方式是45°角
木门的门套线安装方式有45°角和出人头地两种方式
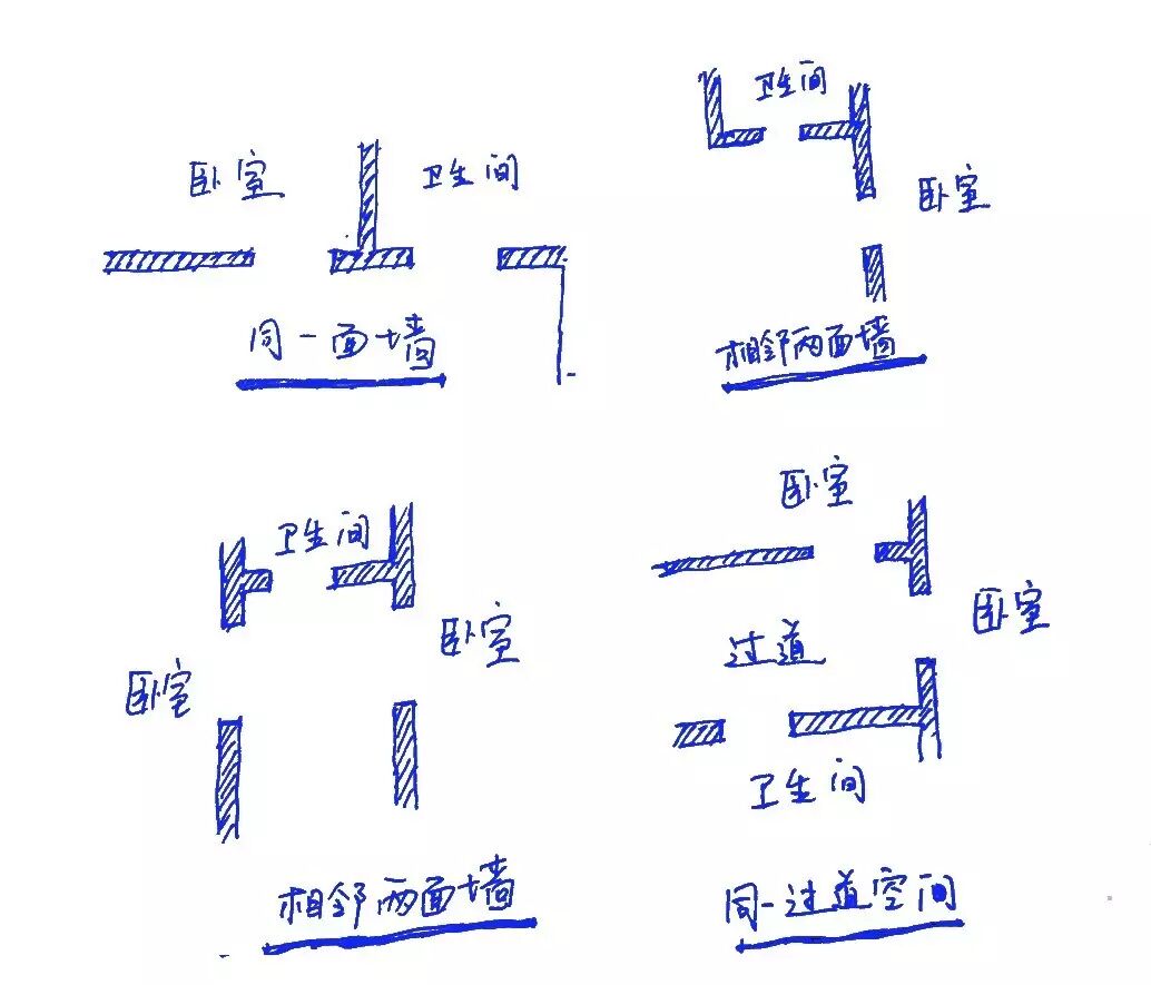
当然门套线的安装方式还要根据门套的样式要确定。门套线的款式很多,都是呈现凹凸状的,一般带凹凸造型的门套线选择45°角的安装方式,平线选择出人头地的安装方式。 所以,当卫生间门与卧室门在同一面墙、相邻两面墙或者同处一个过道空间时,门套线的安装方式不同也会影响整体美观效果。
由于铝合金门一般都是单边包套,门洞侧边贴墙砖,所以门扇安装位置都是靠室外墙面。而木门一般都是靠室内墙面。 因此,当卫生间门与卧室门在同一面墙、相邻两面墙或者同处一个过道空间时,门扇的安装位置不同同样会影响整体美观效果。
那如果你以上因素都考虑过了还是决定选择铝合金门可以吗? 当然可以,木质门套+铝合金门就是很好的办法,同时可以保证门套线安装方式和门扇安装位置的统一,唯一不足的就是与卧室门的质感无法完全统一。 木质门
木质门的最大优点是与卧室门质感一致,档次高,从美观角度来讲是最强的。缺点是木质门的防水性和抗变形能力相比是比较差的,而且造价相对高一些。卫生间木门有三类, 实木门、表面做了漆的工艺门和其他木质门,表面没有做漆的PVC膜的木质门不能用在卫生间,因为PVC膜的防水性没有漆好,潮气进入基材容易造成起泡变形。而实木门的防水性想对还是比较强的。
那门如何解决木门变形发霉灯问题呢?这里和大家分享四点: (1)保持的空气流通
生间木门出现受潮开裂的现象,最主要原因是因为室内空气流通不畅等原因造成的,所以在使用中要注意空气的流畅,现在很多家庭卫生间没有安装窗户,在卫生间使用中换气扇也不经常开启,导致室内湿气增加,从而导致木门出现受潮的现象也很多。 (2)选择大品牌值得信赖的木门 木门产品和别的产品不一样,其内部芯材和工艺是很难去辨别的,好的卫生间木门会选择防潮性能高的内部芯材,在油漆喷涂工艺上也会尽可能的采用六面封漆等方式,防止水汽入侵。 (3)淋浴区分隔 在家庭装修中,很多家庭卫生间区域没有明显干湿分隔,最后导致在使用中出现湿气过剩的现象,正常卫生间区域应该有明显的分割,正常淋浴区是有水渍存在的,但是不在淋浴区的地方要保证决定的干爽,如果发现有水渍存在要及时清除掉,如果卫生间潮气比较大的时候,可以使用除湿器来保持木门的干燥。
(4)门洞四周做防水处理 这一点也是最容易忽略的地方,卫生间门洞四周做防水可以有效的防治水顺着过门石或者墙体缝隙渗透到门套处。
钢化玻璃门
钢化玻璃门防水性强,抗变形的能力强。而且造价相对便宜,防污防潮。由于与卧室门质感完全不同,所以一般家庭很少选用。 玻璃更具现代感和时尚感,如果你家主卧带卫生间,而且选择半开放式,钢化玻璃门也是很不错的选择。
|